在PCB行业中,钯是化学沉铜工艺的关键催化剂。催化完成后,须去除残留的钯,以免影响后续工序。因此,实时监控槽液中的钯含量至关重要。
本文将展示如何利用伏安极谱仪测定除胶槽液中的钯。

[一、关于钯]
钯(Pd)是铂族金属里的“全能选手",原子序数46,银白色,密度12.02g/cm³。它牛的特性是吸氢(常温下能吸自身体积900倍的氢气)和催化(汽车尾气净化、电子化学镀、石油裂解都靠它)。
钯具体以下特性:
1、化学惰性:常温下极稳定,不溶于盐酸,但能被王水、浓硝酸溶解。
2、催化:在有机合成(如偶联反应)、燃料电池、尾气处理(三元催化器)中不可替代。
3、电子基石:作为化学镀的活化剂,是PCB(电路板)孔金属化的关键材料。
采用伏安极谱仪测试除胶槽液中的钯,待测样品消解后可以测试。

[ 二、电极 ]
工作电极:Multi-Mode Electrode pro (6.1246.120)

参比电极:Ag/AgCl Reference electrode (6.0728.120)

辅助电极:Separate Pt Rod Electrode
( 6.0343.100)

[ 三、测量模式 ]
Mode :DP-ASV
Working Electrode :SMDE
[ 四、测试过程 ]
1. 样品前处理:取5ml样品溶液至烧杯中,加入5ml硝酸,于电热板上加热至110℃消解1小时。取下冷却,用氨水调节pH至10左右,定容至50ml容量瓶,待测。
2. 样品量:1~2 mL
3. 电解液:5mL,0.15mol/L氯hua钾溶液
4. 超纯水:5 mL
5. 缓冲溶液:1~5ml pH=10氯化铵-氨水缓冲溶液
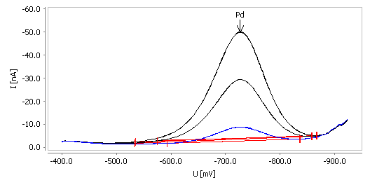
6. 测试过程:将上述样品和溶液加入测量杯中,扫描-0.4V至-0.92V的极谱曲线
7. 定量方式:标准添加法
8. 特征电位:-0.7 V

9. 标准曲线绘制如下:


电化学分析法中的差分脉冲阳极溶出伏安法(DP-ASV)具有抗干扰能力强、检出限低、重现性好、测试速度快、操作简单、设备成本低等优点,是理想的用于除胶槽液中钯元素测试技术手段。
扫码加微信